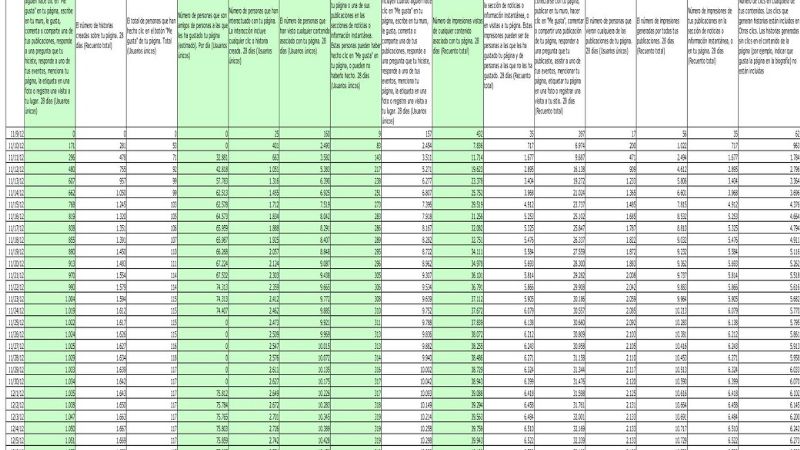
Una Fan Page del Dakar en Catamarca llegó un millón de tráfico

La acción surgió en la FIT, cuando se presentó la moto del Dakar de Diego Demelchori, esas fotos, las cuales fueron subidas a la página de Facebook “Catamarca Capital Mundial del Dakar” fueron etiquetadas, me gustan y compartidas durante un mes dieron por resultado un millón de impresiones.
lunes, 17 de diciembre de 2012 00:00
lunes, 17 de diciembre de 2012 00:00

¿Que son las impresiones?

Las Fan Page no se miden solo en cantidad de amigos sino que importa también (o más aun) los usuarios que interactúan por día (sean fans de la página o sean amigos de fans etiquetados) porque esto nos da tráfico. Este tráfico genera un ALCANCE viral y este alcance decanta en IMPRESIONES que es en definitiva, lo que importa.

Las impresiones es cuanta gente vio una historia no patrocinada en Facebook de tu página. Puede ser que un amigo que haya comentado una foto de un amigo de esa persona que esta etiquetada en la fan page y quizás ni es fan, pero eso genera una impresión de tipo ¨a tu amigo PEPE le gusta la foto de Catamarca Dakar en la que esta etiquetada su amiga JUANA¨.

En fin, la Fan Page supero el MILLON de impresiones. Porque se da eso? porque fue una propuesta activa, hecha para que la gente PARTICIPE y eso hace que se etiqueten, comenten, sus amigos tocan me gusta, etc. Distinto es cuando la cosa es pasiva y vos bajas línea desde una fan page pero nadie interactúa realmente.

Comentarios