¿Dónde están los 40 millones para los tabacaleros?

La diputada nacional Myrian Juárez se reunió nuevamente en la mañana de este lunes con el sector tabacalero de la provincia, donde evaluaron los números y las problemáticas del sector. Según se planteó, los tabacaleros de Catamarca tendrían que haber recibido desde diciembre de 2011 hasta fines de agosto de este año más de 40 millones de pesos que aún no llegaron. La pregunta de la legisladora es ¿qué fueron de esos fondos?
martes, 2 de septiembre de 2014 07:52
martes, 2 de septiembre de 2014 07:52

El primer lugar, la diputada nacional Myrian Juárez recordó en una entrevista con CatamarcActual que el pasado 13 de agosto los tabacaleros de Catamarca le presentaron una nota donde le planteaban todas las problemáticas del sector, entre ellos, que no recibían los fondos que les corresponde.

"Me comentaron además de las problemáticas productivas, económicas y sociales que ellos tenían, que estaban muy agobiados porque no tenían respuestas a una serie de preguntas que ellos habían hecho en el orden gubernamental”, comentó la legisladora.

A su vez, indicó que los planteos realizados por los tabacaleros, que en varias oportunidades se manifestaron con corte de ruta, están relacionados "con la falta de acceso a la información respecto a los criterios de distribución del dinero que administra la provincia y que viene del Fondo Especial del Tabaco (FET); que tampoco contaban con datos respecto a la ejecución de Planes Operativos Anual (POA); y que tampoco sabían si se habían rendido cuenta”.

También señaló que los tabacaleros fueron recibidos por funcionarios provinciales quienes "les decían que ya le iban a solucionar los problemas, pero no se solucionaron”.

"He asumido el compromiso con ellos de trabajar desde mi lugar, desde mi metro cuadrado, y ver qué se puede hacer. Eso ha derivado de la presentación de un proyecto de resolución  N° 6885 en la Cámara de Diputados de la Nación. La presentación de la iniciativa fue el 27 de agosto. Y en forma paralela realicé un pedido al secretario de Agricultura, Ganadería y Pesca de la Nación, que sería la autoridad de aplicación en el tema”, apuntó la legisladora sobre las acciones que lleva adelante para conocer el destino de los fondos.

En este sentido, estimó que en un plazo de 30 días el Ministerio de Agricultura deberá informar sobre el petitorio, remarcando que también lleva su tiempo el análisis del proyecto presentado en el seno de las comisiones de la Cámara baja de la Nación.

Entre las preguntas que Juárez realiza en ese pedido de informes, como en el proyecto de resolución, se menciona cuáles son los destinos de los fondos del tabaco para cada provincia; cuál es el importe total que conforma el Fondo Especial del Tabaco; detalles de montos asignados a cada provincia de acuerdo a los Planes Operativos Anuales presentados por cada jurisdicción; en el caso de Catamarca; se informe cuáles son los Planes Operativos Anuales durante las últimas tres campañas (2012, 2013, 2014); detalle de si en las campañas mencionadas, la provincia de Catamarca rindió cuenta de los fondos que le han sido transferidos de acuerdo a lo que establece la Ley 19800; detalles de las organizaciones de productores provinciales que fueron beneficiados con la asignación de fondos; entre algunos de los puntos.

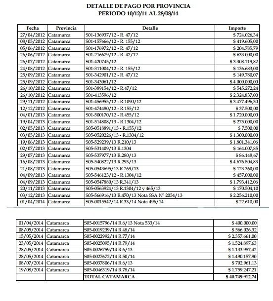
Por otra parte, la legisladora catamarqueña mencionó que a través de la página oficial del Ministerio de Agricultura de la Nación (http://www.minagri.gob.ar/site/_swf/fets.pdf) se publican los montos que debería haber recibido Catamarca por el FET (ver fotos).

En la página oficial del organismo nacional, se puede ver publicado que Catamarca recibió desde diciembre de 2011 hasta agosto de 2014 una suma de 40.749.912,74, mientras que en 2014 los montos que deberían haber sido destinados para los tabacaleros van superando –hasta la fecha- los 9 millones de pesos.

"Mi pregunta es, si esos fondos ya han sido transferidos a la provincia, quiénes lo han recibido, a través de quién se ha canalizado, cómo se han utilizado”, lanzó. Al mismo tiempo, agregó que "estoy asombrada por los recursos que figuran como asignados a la provincia, y la verdad que más incertidumbre me genera escuchar a los tabacaleros cuando cuentan de que no tienen respuestas”.

Finalmente, la diputada dijo que "vamos a esperar que los organismos respondan y después veremos cómo sigue el tema”, asegurando que no dialogó sobre el tema con las autoridades provinciales, aunque también señaló que "voy a tratar de correr traslado a algún legislador de la Comisión de Agricultura de la Cámara de Diputados de la provincia para que se haga un pedido de informe similar”.

"Estoy cansada de los dimes y diretes. Hay que darle la mayor seriedad posible. No se puede con la gente que trabaja y que produce. Quiero que si realmente esa plata ha sido girada a Catamarca, expliquen qué se hizo. A lo mejor tiene una explicación. Yo transmito lo que me transmitieron los tabacaleros, ue a los 40 millones de pesos no lo vieron”, concluyó.